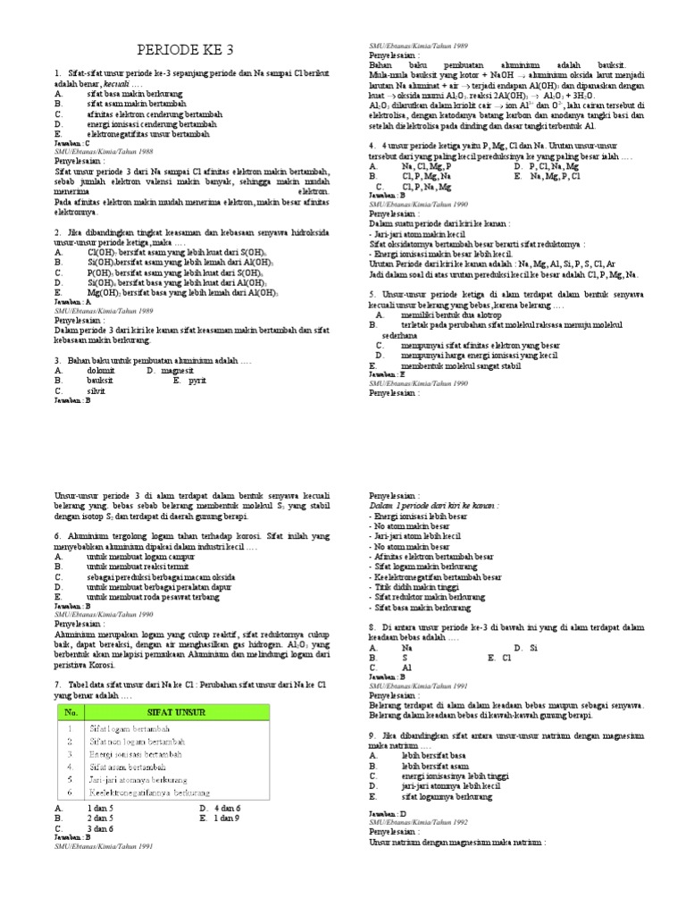
Perubahan Sifat Unsur Dari Na Ke Cl Yang Benar Adalah Nomor

May 30, 2021

Uas Kimia Semester Ganjil Xii Ips Gel 3 - ProProfs Quiz Uas Ganjil Kimia Xii MIPA Gel 2 - ProProfs Quiz SIFAT FISIS DAN KIMIA UNSUR- UNSUR GOLONGAN UTAMA DAN TRANSISI … SIFAT FISIS DAN KIMIA UNSUR- UNSUR GOLONGAN UTAMA DAN TRANSISI … B. Sifat Fisis Dan Sifat Kimia Unsur-Unsur Gas Mulia, Halogen … soal kimia uts x - UjianSekolah.Net – Kumpulan Soal Ujian Sekolah Unsur Periode Ketiga B. Sifat Fisis Dan Sifat Kimia Unsur-Unsur Gas Mulia, Halogen … 40+ Soal Unsur Periode 3 Pilihan Ganda dan Jawaban [+Pembahasan] 1. dalam air bereaksi eksplosif Periode Ke 3 Sifat-Sifat Unsur | NOVIA SESTIKA RIZKI Bab 3 kimia unsur Periode Ke 3 grafik tersebut menunjukkan hubungan antara nomor atom dengan … unsur-unsur di alam Kimia Unsur : Periode 3 | Chemistry Quiz - Quizizz Tugas kimia dasar ii sifat sifat unsur periodik ke 3 Soal Kimia Unsur Bab 3 kimia unsur Cara Membandingkan Karakter Ion/Kovalen Senyawa-senyawa - Urip dot … PPT) SIFAT-SIFAT KIMIA DAN FISIKA MASING- MASING UNSUR | Dian Eka … Mengenal Sifat-sifat Unsur-unsur Periode Ketiga 40+ Soal Unsur Periode 3 Pilihan Ganda dan Jawaban [+Pembahasan] Tabel periodik - Wikipedia bahasa Indonesia, ensiklopedia bebas Powerpoint unsur-unsur periode ketiga 40+ Soal Unsur Periode 3 Pilihan Ganda dan Jawaban [+Pembahasan] Contoh Soal & Pembahasan Periode Ketiga Bahan Bacaan 4 UNSUR-UNSUR PERIODE Tugas kimia dasar ii sifat sifat unsur periodik ke 3 B. Sifat Fisis Dan Sifat Kimia Unsur-Unsur Gas Mulia, Halogen … soal kimia unsur Unsur periode 3 - Wikipedia bahasa Indonesia, ensiklopedia bebas Bab I Kimia 40+ Soal Unsur Periode 3 Pilihan Ganda dan Jawaban [+Pembahasan] Unsur adalah : Senyawa, Tabel, Jenis, Fungsi, Ciri & Contoh kimia sma_kelas_x unsur perioda ketiga | Chemistry Quiz - Quizizz Uas Kimia Semester Ganjil Xii Ips Gel 3 - ProProfs Quiz Pembahasan Kimia UN 2015 No. 1 - 5 Mengenal Sifat-sifat Unsur-unsur Periode Ketiga Periode Ke 3 Tren periodik - Wikipedia bahasa Indonesia, ensiklopedia bebas DOC) HALOGEN | Dewi Yustika - Academia.edu SOAL DAN PEMBAHASAN PERSIAPAN UAS KIMIA KEALS 10 SMAN 46 DAREL Tugas kimia dasar ii sifat sifat unsur periodik ke 3 Cara Membandingkan Karakter Ion/Kovalen Senyawa-senyawa - Urip dot … Mengenal Sifat-sifat Unsur-unsur Periode Ketiga Tugas kimia dasar ii sifat sifat unsur periodik ke 3 Unsur Periode 3 Rev Powerpoint unsur-unsur periode ketiga Tugas kimia dasar ii sifat sifat unsur periodik ke 3 Unsur Logam, Non Logam, Semi Logam, Beserta Contohnya {Lengkap} sebutkan perubahan sifat unsur priode ke tiga dari Na sampai Cl … IPA Modul 6 KB 1 Rev KIMIA. Sesi KIMIA UNSUR (BAGIAN IV) A. UNSUR-UNSUR PERIODE KETIGA … B. Sifat Fisis Dan Sifat Kimia Unsur-Unsur Gas Mulia, Halogen … Contoh Soal & Pembahasan Periode Ketiga Mengenal Sifat-sifat Unsur-unsur Periode Ketiga Sejarah tabel periodik - Wikipedia bahasa Indonesia, ensiklopedia … Unsur adalah : Senyawa, Tabel, Jenis, Fungsi, Ciri & Contoh DOC) Modul Kimia Unsur SMA kelas XII | Tjandrawati Nugraha … SIFAT FISIS DAN KIMIA UNSUR- UNSUR GOLONGAN UTAMA DAN TRANSISI … Mengenal Sifat-sifat Unsur-unsur Periode Ketiga 45+ Soal Halogen Pilihan Ganda dan Jawaban [+Pembahasan] Makalah Sistem Periodik ke-3 - [DOCX Document] tolong jawabin yah…1-5 - Brainly.co.id Unsur Logam, Non Logam, Semi Logam, Beserta Contohnya {Lengkap} Matematika dan Ilmu Alamiah Dasar PDF) MAKALAH UNSUR -UNSUR KIMIA PERIODE KETIGA | Veril Firmansyah … Unsur Senyawa : Pengertian, Perbedaan, Contoh Beserta Gambarnya Pembahasan Kimia UN 2015 No. 1 - 5 Struktur Atom - [PDF Document] Bank Soal Kimia Kelas X SMA : Sistem Periodik Unsur - Your … SIFAT FISIS DAN KIMIA UNSUR- UNSUR GOLONGAN UTAMA DAN TRANSISI … Periode Ke 3 Pembelajaran Kimia Berbasis ICT: SIFAT FISIS DAN SIFAT KIMIA UNSUR … DOC) Soal tugas kimia | mutia azila - Academia.edu RPP Ikatan Kimia KD 3.5 dan 4.5 Cara Membandingkan Karakter Ion/Kovalen Senyawa-senyawa - Urip dot … B. Sifat Fisis Dan Sifat Kimia Unsur-Unsur Gas Mulia, Halogen … Elektronegativitas - Wikipedia bahasa Indonesia, ensiklopedia bebas Bank Soal Kimia Kelas X SMA : Sistem Periodik Unsur - Your … Uas Ganjil Kimia Xii MIPA Gel 2 - ProProfs Quiz DOC) unsur periode 3 | Ika lestiana sari - Academia.edu GOLONGAN ALKALI.docx - [DOCX Document] KIMIA Tabel Periodik - Sistem, Perkembangan, Sifat, Gambar, Contoh Kecenderungan Afinitas Elektron, Penyimpangan, dan Argumennya … 45+ Soal Halogen Pilihan Ganda dan Jawaban [+Pembahasan] SOAL KIMIA UNSUR.docx sebutkan dan jelaskan macam macam perubahan materi - Brainly.co.id DOC) Sifat fisik dan kimia unsur utama dan transisi | putri sandi … 40+ Soal Unsur Periode 3 Pilihan Ganda dan Jawaban [+Pembahasan] DOC) Tugas Kimia (Annisa Prima Lestari) XII IPA | Try Panji … konfigurasi elektron Br nomor atom 35 - Brainly.co.id Unsur adalah : Senyawa, Tabel, Jenis, Fungsi, Ciri & Contoh Pembahasan Soal UN Kimia 2018 Nomor 1-20 (UNKP bagian-1) - Urip … SKL 8 Unsur Perioda 3 Berikut ini data sifat sifat unsur perioda … Natrium - Wikipedia bahasa Indonesia, ensiklopedia bebas

Unsur Sejarah Yang Paling Cepat Mengalami Perubahan Adalah

Bagaimana Perubahan Bentuk Energi Yang Terjadi Pada Televisi Saat Dihidupkan